隨著全球能源日趨緊張,太陽能成為新型能源得到了大力的開發,其中我們在生活中使用最多的就是太陽能電池了。太陽能電池是以半導體材料為主,利用光電材料吸收光能后發生光電轉換,使它產生電流,那么太陽能電池的工作原理是怎么樣的呢?太陽能電池是通過光電效應或者光化學效應直接把光能轉化成電能的裝置。當太陽光照射到半導體上時,其中一部分被表面反射掉,其余部分被半導體吸收或透過。被吸收的光,當然有一些變成熱,另一些光子則同組成半導體的原子價電子碰撞,于是產生電子—空穴對。這樣,光能就以產生電子—空穴對的形式轉變為電能。
一、太陽能電池的物理基礎
當太陽光照射p-n結時,在半導體內的電子由于獲得了光能而釋放電子,相應地便產生了電 子——空穴對,并在勢壘電場的作用下,電子被驅向型區,空穴被驅向P型區,從而使凡區有過剩的 電子,P區有過剩的空穴。于是,就在p-n結的附近形成了與勢壘電場方向相反的光生電場。
如果半導體內存在P—N結,則在P型和N型交界面兩邊形成勢壘電場,能將電子驅向N區,空穴驅向P區,從而使得N區有過剩的電子,P區有過剩的空穴,在P—N結附近形成與勢壘電場方向相反光的生電場。
制造太陽電池的半導體材料已知的有十幾種,因此太陽電池的種類也很多。目前,技術最成熟,并具有商業價值的太陽電池要算硅太陽電池。下面我們以硅太陽能電池為例,詳細介紹太陽能電池的工作原理。
1、本征半導體
物質的導電性能決定于原子結構。導體一般為低價元素,它們的最外層電子極易掙脫原子核的束縛成為自由電子,在外電場的作用下產生定向移動,形成電流。高價元素(如惰性氣體)或高分子物質(如橡膠),它們的最外層電子受原子核束縛力很強,很難成為自由電子,所以導電性極差,成為絕緣體。常用的半導體材料硅(Si)和鍺(Ge)均為四價元素,它們的最外層電子既不像導體那么容易掙脫原子核的束縛,也不像絕緣體那樣被原子核束縛的那么緊,因而其導電性介于二者之間。
將純凈的半導體經過一定的工藝過程制成單晶體, 即為本征半導體。晶體中的原子在空間形成排列整齊的點陣,相鄰的原子 形成共價鍵。
晶體中的共價鍵具有極強的結合力,因此,在常溫下,僅有極少數的價電子由于熱運動(熱激發)獲得足夠的能量,從而掙脫共價鍵的束縛變成為自由電子。與此同時,在共價鍵中留下一個空穴。原子因失掉一個價電子而帶正電,或者說空穴帶正電。在本征半導體中,自由電子與空穴是成對出現的,即自由電子與空穴數目相等。
自由電子在運動的過程中如果與空穴相遇就會填補空穴,使兩者同時消失,這種現象稱為復合。在一定的溫度下,本征激發所產生的自由電子與空穴對,與復合的自由電子和空穴對數目相等,故達到動態平衡。
能帶理論:
1、單個原子中的電子在繞核運動時,在各個軌道上的電子都各自具有特定的能量;
2、越靠近核的軌道,電子能量越低;
3、根據能量最小原理電子總是優先占有最低能級;
4、價電子所占據的能帶稱為價帶;
5、價帶的上面有一個禁帶,禁帶中不存在為電子所占據的能級;
6、禁帶之上則為導帶,導帶中的能級就是價電子掙脫共價鍵束縛而成為自由電子所能占據的能級;
7、禁帶寬度用Eg表示,其值與半導體的材料及其所處的溫度等因素有關。T=300K時,硅的Eg=1.1eV;鍺的Eg=0.72eV。
2、雜質半導體
雜質半導體:通過擴散工藝,在本征半導體中摻入少量雜質元素,便可得到雜質半導體。
按摻入的雜質元素不用,可形成N型半導體和P型半導體;控制摻入雜質元素的濃度,就可控制雜質半導體的導電性能。
N型半導體: 在純凈的硅晶體中摻入五價元素(如磷),使之取代晶格中硅原子的位置,就形成了N型半導體。
由于雜質原子的最外層有五個價電子,所以除了與其周圍硅原子形成共價鍵外,還多出一個電子。多出的電子不受共價鍵的束縛,成為自由電子。N型半導體中,自由電子的濃度大于空穴的濃度,故稱自由電子為多數載流子,空穴為少數載流子。由于雜質原子可以提供電子,故稱之為施主原子。
P型半導體:在純凈的硅晶體中摻入三價元素(如硼),使之取代晶格中硅原子的位置,就形成了P型半導體。
由于雜質原子的最外層有三個價電子,所以當它們與其周圍硅原子形成共價鍵時,就產生了一個“空位”,當硅原子的最外層電子填補此空位時,其共價鍵中便產生一個空穴。因而P型半導體中,空穴為多子,自由電子為少子。因雜質原子中的空位吸收電子,故稱之為受主原子。
3、PN結
PN結:采用不同的摻雜工藝,將P型半導體與N型半導體制作在同一塊硅片上,在它們的交界面就形成PN結。
擴散運動:物質總是從濃度高的地方向濃度低的地方運動,這種由于濃度差而產生的運動稱為擴散運動。
當把P型半導體和N型半導體制作在一起時,在它們的交界面,兩種載流子的濃度差很大,因而P區的空穴必然向N區擴散,與此同時,N區的自由電子也必然向P區擴散,如圖示。
由于擴散到P區的自由電子與空穴復合,而擴散到N區的空穴與自由電子復合,所以在交界面附近多子的濃度下降,P區出現負離子區,N區出現正離子區,它們是不能移動的,稱為空間電荷區,從而形成內建電場ε。
隨著擴散運動的進行,空間電荷區加寬,內建電場增強,其方向由N區指向P區,正好阻止擴散運動的進行。
漂移運動:在電場力作用下,載流子的運動稱為漂移運動。
當空間電荷區形成后,在內建電場作用下,少子產生飄移運動,空穴從N區向P區運動,而自由電子從P區向N區運動。 在無外電場和其它激發作用下,參與擴散運動的多子數目等于參與漂移運動的少子數目,從而達到動態平衡,形成PN結,如圖示。 此時,空間電荷區具有一定的寬度,電位差為ε =Uho,電流為零。
二、太陽能電池工作原理
1、光生伏打效應:
太陽能電池能量轉換的基礎是半導體PN結的光生伏打效應。如前所述,當光照射到半導體光伏器件上時,能量大于硅禁帶寬度的光子穿過減反射膜進入硅中,在N區、耗盡區和P區中激發出光生電子--空穴對。
耗盡區:光生電子--空穴對在耗盡區中產生后,立即被內建電場分離,光生電子被送進N區,光生空穴則被推進P區。根據耗盡近似條件,耗盡區邊界處的載流子濃度近似為0,即p=n=0。
在N區中:光生電子--空穴對產生以后,光生空穴便向P-N結邊界擴散,一旦到達P-N結邊界,便立即受到內建電場作用,被電場力牽引作漂移運動,越過耗盡區進入P區,光生電子(多子)則被留在N區。
在P區中:的光生電子(少子)同樣的先因為擴散、后因為漂移而進入N區,光生空穴(多子)留在P區。如此便在P-N結兩側形成了正、負電荷的積累,使N區儲存了過剩的電子,P區有過剩的空穴。從而形成與內建電場方向相反的光生電場。
1.光生電場除了部分抵消勢壘電場的作用外,還使P區帶正電,N區帶負電,在N區和P區之間的薄層就產生電動勢,這就是光生伏打效應。當電池接上一負載后,光電流就從P區經負載流至N區,負載中即得到功率輸出。
2.如果將P-N結兩端開路,可以測得這個電動勢,稱之為開路電壓Uoc。對晶體硅電池來說,開路電壓的典型值為0.5~0.6V。
3.如果將外電路短路,則外電路中就有與入射光能量成正比的光電流流過,這個電流稱為短路電流Isc。
影響光電流的因素:
1.通過光照在界面層產生的電子-空穴對愈多,電流愈大。
2.界面層吸收的光能愈多,界面層即電池面積愈大,在太陽電池中形成的電流也愈大。
3.太陽能電池的N區、耗盡區和P區均能產生光生載流子;
4.各區中的光生載流子必須在復合之前越過耗盡區,才能對光電流有貢獻,所以求解實際的光生電流必須考慮到各區中的產生和復合、擴散和漂移等各種因素。
太陽能電池等效電路、輸出功率和填充因數
⑴ 等效電路
為了描述電池的工作狀態,往往將電池及負載系統用一個等效電路來模擬。
1.恒流源: 在恒定光照下,一個處于工作狀態的太陽電池,其光電流不隨工作狀態而變化,在等效電路中可把它看做是恒流源。
2.暗電流Ibk : 光電流一部分流經負載RL,在負載兩端建立起端電壓U,反過來,它又正向偏置于PN結,引起一股與光電流方向相反的暗電流Ibk。
3.這樣,一個理想的PN同質結太陽能電池的等效電路就被繪制成如圖所示。
4.串聯電阻RS:由于前面和背面的電極接觸,以及材料本身具有一定的電阻率,基區和頂層都不可避免地要引入附加電阻。流經負載的電流經過它們時,必然引起損耗。在等效電路中,可將它們的總效果用一個串聯電阻RS來表示。
5.并聯電阻RSh:由于電池邊沿的漏電和制作金屬化電極時在微裂紋、劃痕等處形成的金屬橋漏電等,使一部分本應通過負載的電流短路,這種作用的大小可用一個并聯電阻RSh來等效。
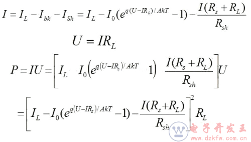
當流進負載RL的電流為I,負載RL的端電壓為U時,可得:
式中的P就是太陽能電池被照射時在負載RL上得到的輸出功率。
⑵ 輸出功率
當流進負載RL的電流為I,負載RL的端電壓為U時,可得:
式中的P就是太陽能電池被照射時在負載RL上得到的輸出功率。
當負載RL從0變到無窮大時,輸出電壓U則從0變到U0C,同時輸出電流便從ISC變到0,由此即可畫出太陽能電池的負載特性曲線。曲線上的任一點都稱為工作點,工作點和原點的連線稱為負載線,負載線的斜率的倒數即等于RL,與工作點對應的橫、縱坐標即為工作電壓和工作電流。
調節負載電阻RL到某一值Rm時,在曲線上得到一點M,對應的工作電流Im和工作電壓Um之積最大,即: Pm=ImUm
一般稱M點為該太陽能電池的最佳工作點(或稱最大功率點),Im為最佳工作電流,Um為最佳工作電壓,Rm為最佳負載電阻,Pm為最大輸出功率。
⑶ 填充因數
1.最大輸出功率與(Uoc×Isc)之比稱為填充因數(FF),這是用以衡量太陽能電池輸出特性好壞的重要指標之一。
2.填充因數表征太陽能電池的優劣,在一定光譜輻照度下,FF愈大,曲線愈“方”,輸出功率也愈高。
4、太陽能電池的效率、影響效率的因素
⑴ 太陽能電池的效率:
太陽能電池受照射時,輸出電功率與入射光功率之比η稱為太陽能電池的效率,也稱光電轉換效率。一般指外電路連接最佳負載電阻RL時的最大能量轉換效率。
在上式中,如果把At換為有效面積Aa(也稱活性面積),即從總面積中扣除柵線圖形面積,從而算出的效率要高一些,這一點在閱讀國內外文獻時應注意。
美國的普林斯最早算出硅太陽能電池的理論效率為21.7%。20世紀70年代,華爾夫(M.Wolf)又做過詳盡的討論,也得到硅太陽能電池的理論效率在AM0光譜條件下為20%~22%,以后又把它修改為25%(AM1.0光譜條件)。
估計太陽能電池的理論效率,必須把從入射光能到輸出電能之間所有可能發生的損耗都計算在內。其中有些是與材料及工藝有關的損耗,而另一些則是由基本物理原理所決定的。
⑵ 影響效率的因素
綜上所述,提高太陽能電池效率,必須提高開路電壓Uoc、短路電流ISC和填充因子FF這三個基本參量。而這3個參量之間往往是互相牽制的,如果單方面提高其中一個,可能會因此而降低另一個,以至于總效率不僅沒提高反而有所下降。因而在選擇材料、設計工藝時必須全盤考慮,力求使3個參量的乘積最大。
1.材料能帶寬度:
開路電壓UOC隨能帶寬度Eg的增大而增大,但另一方面,短路電流密度隨能帶寬度Eg的增大而減小。結果可期望在某一個確定的Eg處出現太陽電池效率的峰值。用Eg值介于1.2~1.6eV的材料做成太陽電池,可望達到最高效率。薄膜電池用直接帶隙半導體更為可取,因為它能在表面附近吸收光子。
2.溫度 :
少子的擴散長度隨溫度的升高稍有增大,因此光生電流也隨溫度的升高有所增加,但UOC隨溫度的升高急劇下降。填充因子下降,所以轉換效率隨溫度的增加而降低。
3.輻照度:
隨輻照度的增加短路電流線性增加,最大功率不斷增加。將陽光聚焦于太陽電池,可使一個小小的太陽電池產生出大量的電能。
4.摻雜濃度:
對UOC有明顯影響的另一因素是半導體摻雜濃度。摻雜濃度越高,UOC越高。但當硅中雜質濃度高于1018/cm3時稱為高摻雜,由于高摻雜而引起的禁帶收縮、雜質不能全部電離和少子壽命下降等等現象統稱為高摻雜效應,也應予以避免。
5.光生載流子復合壽命:
對于太陽電池的半導體而言,光生載流子的復合壽命越長,短路電流會越大。達到長壽命的關鍵是在材料制備和電池的生產過程中,要避免形成復合中心。在加工過程中,適當而且經常進行相關工藝處理,可以使復合中心移走,而且延長壽命。
6.表面復合速率:
低的表面復合速率有助于提高Isc,前表面的復合速率測量起來很困難,經常假設為無窮大。一種稱為背電場(BSF)的電池設計為,在沉積金屬接觸前,電池的背面先擴散一層P+附加層。
7.串聯電阻和金屬柵線:
串聯電阻來源于引線、金屬接觸柵或電池體電阻,而金屬柵線不能透過陽光,為了使Isc最大,金屬柵線占有的面積應最小。一般使金屬柵線做成又密又細的形狀,可以減少串聯電阻,同時增大電池透光面積。
8.采用絨面電池設計和選擇優質減反射膜:
依靠表面金字塔形的方錐結構,對光進行多次反射,不僅減少了反射損失,而且改變了光在硅中的前進方向并延長了光程,增加了光生載流子產量;曲折的絨面又增加了PN結的面積,從而增加對光生載流子的收集率,使短路電流增加5%~10%,并改善電池的紅光響應。
9.陰影對太陽電池的影響:
太陽電池會由于陰影遮擋等造成不均勻照射,輸出功率大大下降。
目前,太陽能電池的應用已從軍事領域、航天領域進入工業、商業、農業、 通信、家用電器以及公用設施等部門,尤其可以分散地在邊遠地區、高山、沙漠、海島和農村使用,以節省造價很貴的輸電線路。但是在目前階段,它的成本還很高,發出1kW電需要投資上萬美元,因此大規模使用仍然受到經濟上的限制。
但是,從長遠來看,隨著太陽能電池制造技術的改進以及新的光—電轉換裝置的發明,各國對環境的保護和對再生清潔能源的巨大需求,太陽能電池仍將是利用太陽輻射能比較切實可行的方法,可為人類未來大規模地利用太陽能開辟廣闊的前景。


返回頂部
刷新頁面
下到頁底